|深度讲解三极管和MOS管下拉电阻的作用

文章图片

文章图片

关于三极管
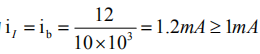
简单讲解一下三极管 , 如果三极管工作在饱和区(完全导通) , Rce≈0 , Vce≈0.3V , 且这个0.3V , 我们就认为它直接接地了 。 那么就需要让Ib大于等于1mA , 若Ib=1mA Ic=100mA , 它的放大倍数β=100 , 三极管完全导通 。 如下图 , 是一个NPN三极管 。
三极管属于电流型驱动元器件 , 因此一般在基极都会串一个限流电阻 , 一般小于等于10K , 但是在基极为什么会下拉一个电阻呢?举例说明 。 如下图 , 是温度开关控制马达电路图 。
如图是温度开关控制马达转和停 , 温度开关相当于一个按键开关 。 在B极串个开关 , N管就能够做个开关管使用 。 图中马达是一个直流有刷马达 , 只要正极接通12V , 负极接地 , 马达就开始转 。当温度开关导通 , 回路I流过的电流的为
三极管CE完全导通 , Vce ? 0.3V , 这时候 , 马达两端的电压压降接近 12V它就能够转动 , 因为三极管be的导通后阻抗远远小于2K电阻R2 , 所以电流大部分流过三极管;当温度开关断开 , ib 就没有电流 , ic 也没有电流 。
由于温度开关在关断的瞬间 , 三级管ib、ic上的电流并不能够一下子降到零 , 而是慢慢降到零 , 这是制造工艺必然存在的 , 在这段时间 , 三极管是工作在放大区 , 是最容易受到干扰 。 因此需要接个下拉电阻R2 , 这个电阻一是给三极管提供了个放电回路 , 二是为点A提供一个能量分散的通路 。
放电回路怎么理解?
如下图三极管寄生电容 , 三极管实际工艺制造模型 , 三极管BE、BC、CE之间分别有电容C1、C2、C3 。 这三个电容的存在一方面是我们不需要的 , 另一方面 , 又是工艺中无法避免克服的 , 是制造工艺过程中必然存在的现象 。 我们把这种电容一般称之为杂散电容 , 或者说是寄生电容 。
由于有电容的存在 , 三极管势必有延时 。 当ib没有电流时 , 电容C1开始放电 , 形成回路I , 这个时候B点的电压从0.7V降到0V , 工作在放大区 , 最容易受到干扰 , 在C1两端加个电阻R2 , 电容上的电一部分就会从电阻R2上释放掉 , 并且电阻阻值越小 , 电容放电越快 。 因此 , 电阻R2给电容提供了一个通路释放电荷 , 大大减短了三极管工作在放大区的时间 。
给能量提供一个分散通路怎么理解?
为什么说电阻 R2 为点A提供了一个能量分散通路 。 如图2所示 , 温度开关断开时 , 此时点A是悬空的 , A点电压不确定 , 为高阻态(阻抗无穷大) , 容易出现误导通的现象 , 而且也容易受到周围环境干扰 , 比如静电、雷击等使器件永久损坏 。
当使用环境出现雷击 , 高压静电等情况 , 在点A下拉一个电阻接到地 , 大部分电流就会顺着电阻流入地 , 给能量提供一个分散通路 。 如果没有接这个电阻 , 当发生雷击时 , 由于A点左边阻抗无穷大 , A点右边接三极管 , 阻抗相对左边来说是很低的 , 因此电流会全部往阻抗低的方向跑 , 流入三极管 , 造成电流过大 , 使器件永久性损坏 。
关于MOS管
由于篇幅限制 , 关于MOS管基础知识 , 移步此处: 。
下拉电阻的作用有两个:
- 防止在静电作用下 , 电荷没有释放回路 , 容易引起静电击穿
- CPU|这么迷你的主机能容下这么强悍的性能——零刻SER6深度评测
- 深度学习|深度学习是如何工作的
- 红米手机|不黑不吹,Redmi K60深度评测,标准版性能也越级?
- 卢伟冰|深度体验才能发现,RedmiK60三个亮点与三个遗憾,你能接受几个
- 不吹不黑,Redmi K60深度评测,标准版性能也越级?
- 深度学习|NumPy 图解入门
- 小米13 Pro深度评测:让人拍摄起来就欲罢不能的顶级徕卡影像旗舰
- 山东微耕机厂家为您讲解田园管理机,前旋耕与后旋耕微耕机区别
- 小米13Pro深度评测:让人拍摄起来就欲罢不能的顶级徕卡影像旗舰如今小米手机的影像能力|小米13pro深度评测:让人欲罢不能的顶级徕卡影像旗舰
- 深度学习|短视频起号干货知识分享
