近期,瑞士洛桑联邦理工学院(EPFL)研究人员开发了一种同时读取多个量子位(量子数据的最小单位)的技术。这项研究为新一代更强大的量子计算机铺平道路。

文章插图
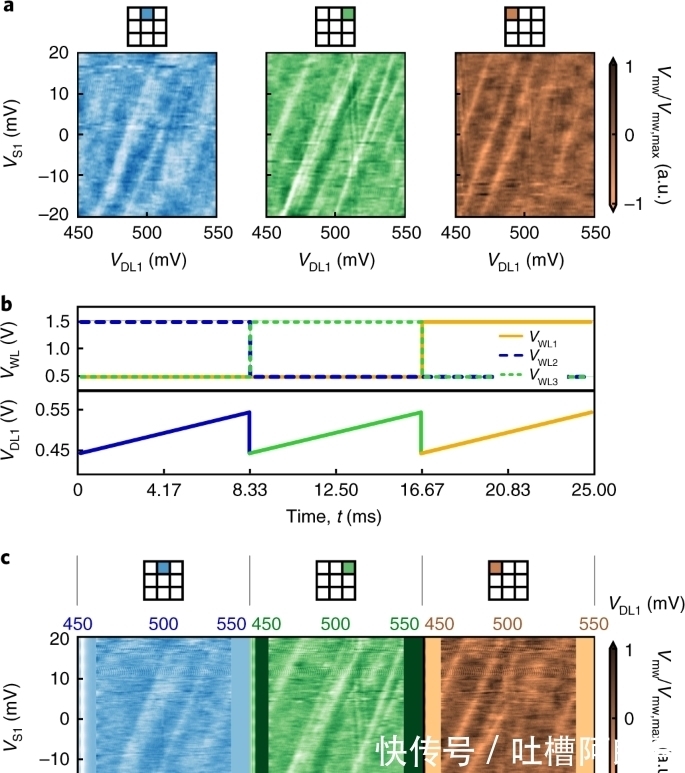
但由于量子位的数量有限,工程师无法开发出更高性能的计算机。EPFL工程师团队与英国研究人员开发出一种新方法,能够突破技术障碍,更有效地读取量子位。这意味着更多的量子位可以放入量子计算机中。该发现于近日发表在《自然电子》(Nature Electronics)杂志上。
“我们现在面临的挑战是将更多的量子位连接到计算机上——数百个,甚至数千个——以提高计算机的处理能力,”Charbon说,“更为复杂的是,量子位的工作温度接近绝对零度(零下273.15摄氏度),因此在室温下读取和控制它们异常困难。工程师通常会在室温使用计算机,单独控制每个量子位。”

文章插图
“我的方法是基于使用时间和频率。”他说道,“基本想法是减少连接,并用单个链路操作三个量子位。”
实验室主任Charbon表示这是“一项真正的突破”:新方法在普通计算机芯片的集成电路上和接近量子位的温度下都是可行的,未来可能会促成大型量子位矩阵系统与必要的电子进行集成,这两种技术将以一种可复制的方式简单、有效地合作。
【 自然电子|同时读取9个量子位:新方法让量子计算机更强大】(本文来自澎湃新闻,更多原创资讯请下载“澎湃新闻”APP)
- ict|青云科技林源:中国依旧是最快速增长的ICT市场,同时互联网行业进入减量竞争|探路2022
- 产值|4个月产值5000多万元!丽水经开区半导体重点项目晶睿电子结硕果
- 烟草广告|湖北:全面禁止电子烟广告
- 短视频|韩国LG电子,在家电市场超越惠而浦,成为“世界第一”
- 传感器|融资丨「聚芯微电子」完成数亿元D轮融资,由五源资本领投
- 电子商务|电商平台对于社会,你觉得是利大于弊,还是弊大于利?
- 本文转自:天目新闻能源是地球上生命得以延续的重要保障|天目Tech+《自然》封面研究:“小胶囊”蕴藏大能量 我们离可控核聚变有多远?
- 电子商务|生意很难做,如果全国的个体户都发声呼吁关闭电商,会关闭吗?
- 赛腾微电子完成数千万元的A轮融资
- 集成电路|模拟和射频芯片方案供应商矽磊电子完成超1亿元A轮及A+轮融资
